Bequant la calidad de experiencia y la visibilidad de la red en su última versión R4.28
La Bequant versión R4.28 Bequant se basa en la R4.27 y ofrece nuevas y potentes funciones para optimizar el rendimiento de la red de aplicaciones, obtener una mayor visibilidad de las métricas del tráfico de red y mejorar la calidad de la experiencia (QoE) de los suscriptores.

Bequant la calidad de experiencia y la visibilidad de la red en su última versión R4.28
Bequant complace en anunciar el lanzamiento de la nueva versión R4.28, basada en la R4.27, que ofrece nuevas y potentes funciones para optimizar el rendimiento de la red de aplicaciones, obtener una mayor visibilidad de las métricas del tráfico de red y mejorar la calidad de la experiencia (QoE) de los suscriptores.
----------------------------------------------------------------------------------------------------------------------------------------
TL;DR
La versión R4.28 Bequantofrece:
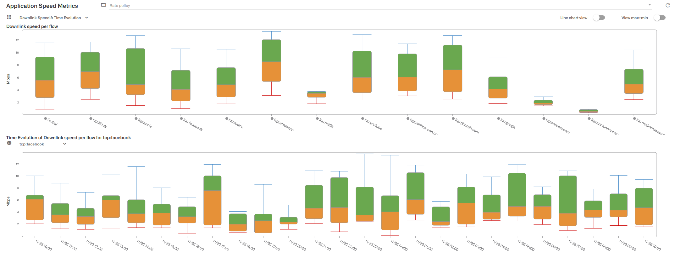
- Métricas de velocidad por aplicación (ejemplos: Netflix, Apple, Xbox, etc.). El alcance de las métricas puede ser toda la red, un abonado, un plan de velocidad grupos específicos de abonados (incluidos puntos de acceso o puertos OLT). Además de la distribución de la velocidad, también se incluye su evolución a lo largo del tiempo.
- Las latencias por aplicación se han rediseñado siguiendo las líneas de la nueva página de velocidad de la aplicación, con toda la información mostrada de forma conjunta.
- Compatibilidad total con TCP ECN (Notificación explícita de congestión), que permite minimizar la congestión sin pérdida de paquetes.
- En el panel de control del suscriptor, los gráficos de latencia y retransmisión también incluyen los valores de los grupos de suscriptores, para que sirvan como referencia directa.
Lanzada en el segundo trimestre de 2025, la versión R4.27 Bequantofrece:
- Nuevas capacidades de marcado DSCP para la priorización y el control del tráfico crítico.
- Una configuración estándar de políticas de flujo de tráfico que se adapta al 95 % de las implementaciones desde el primer momento.
- Un conjunto de perfiles DPI predeterminados, con firmas que se pueden actualizar fácilmente con cada nueva versión.
-------------------------------------------------------------------------------------------------------------------------------------
Estas son las novedades.
- Mejores métricas de aplicación
- Más y mejores controles del tráfico de red
- Aún mejor visibilidad
- Mejoras en la integración conterceros
Mejores métricas de aplicación
Analiza la velocidad por aplicación. Ahora puedes supervisar la calidad con la que estás proporcionando diferentes aplicaciones (por ejemplo, Netflix, TikTok, Xbox) a tus clientes. Medimos la velocidad real que experimentan con cada aplicación, que puede ser muy diferente de la velocidad de la red. Este análisis se puede realizar para toda la red, hasta llegar a un solo suscriptor, y también puedes ver la evolución a lo largo del tiempo. Por ejemplo, puede comparar la velocidad de la aplicación de un abonado que se queja con la de otros abonados del mismo punto de acceso para ver si se trata de un problema específico de ese abonado o de un problema que afecta a todos los abonados de ese punto de acceso.

Analice la latencia de Internet por aplicación. Como complemento alos gráficos de velocidad de las aplicaciones, los nuevos gráficos de latencia de Internet le ofrecen una visión completa de la calidad que ofrece por aplicación. Le permiten comparar las latencias de su red con los diferentes proveedores de contenido y ver si obtiene mejores latencias de determinados proveedores de servicios de Internet, lo que determinará la calidad que ofrece a sus clientes y cómo evolucionan esas latencias con el tiempo.

Más y mejores controles del tráfico de red
DiffServ y DSCP. Marcadores inteligentes de punto de código de servicios diferenciados para priorizar aplicaciones críticas. Hemos añadido:
- Perfiles DSCP: las políticas de flujo se pueden seleccionar en función de las marcas del tráfico recibido. De esta forma, se puede utilizar un sistema externo para clasificar el tráfico y BQN puede aplicar la política.
- Marcado DSCP. Ahora, una política de flujo puede aplicar marcas DSCP personalizadas al tráfico en función de la aplicación DPI encontrada (por ejemplo, VoIP o vídeo), el suscriptor, el grupo de suscriptores, la hora del día, etc. Esto permite que la clasificación de tráfico BQN sea utilizada por un sistema externo de priorización de tráfico.
Políticas de flujo estándar para mejorar la calidad de experiencia (QoE). Bequant ofreceBequant un conjunto de reglas de flujo de suscriptores más sencillo y estándar, destinado a mejorar la calidad de experiencia (QoE) de los usuarios de la red, lo que se traduce en una cierta reducción del rendimiento de toda la red durante las horas punta.

Este conjunto de reglas garantiza:
- Las pruebas de velocidad alcanzan el límite de velocidad del usuario, incluso si se están utilizando otras aplicaciones simultáneamente.
- Un pequeño porcentaje del límite de velocidad de los suscriptores límite de velocidad reserva para aplicaciones distintas al streaming de vídeo y las actualizaciones de software, que de otro modo podrían saturar aplicaciones interactivas como los juegos en línea y la VoIP.
- Al alcanzar límite de velocidad del usuario, se dará prioridad al tráfico de teleconferencias (por ejemplo, Teams, Zoom, Meet, WhatsApp), mientras que las actualizaciones de software tendrán una prioridad menor.
- Priorización del tráfico marcado como teleconferencia y VoIP por parte de los routers Wi-Fi y puntos de acceso descendentes mediante la aplicación de marcas DSCP.
Actualizaciones de firmas DPI con un solo clic. Hemos añadido docenas de nuevas firmas DPI al perfil DPI para juegos, streaming y otros servicios, y seguimos añadiendo más continuamente. No es necesario esperar a la próxima versión del software para obtener las nuevas firmas.
Compatibilidad total con TCP/IP ECN. Nuestroproxy TCP aplica la notificación explícita de congestión TCP, lo que permite minimizar la congestión y la latencia sin pérdidas de paquetes. Como proxy, puede habilitar la compatibilidad con ECN incluso si el servidor o el cliente no la admiten.
Aún mejor visibilidad
Información mejorada sobre los grupos de suscriptores.
- El panel de control del suscriptor compara las métricas con las de los grupos a los que pertenece. El panel de control individual del suscriptor ahora incluye líneas de tendencia de KPI (latencia, rendimiento, porcentaje de retransmisión de paquetes) de todos los grupos a los que pertenece ese suscriptor, por ejemplo, AP, torre, backhaul, etc.
- Ahora puede pausar un análisis DPI en tiempo real para examinar en profundidad los flujos que se están descargando en un momento determinado y, a continuación, reanudar el análisis DPI en tiempo real.
- El panel de control del grupo de suscriptores y la página Grupos de suscriptores ahora muestran un gráfico seleccionable solo para los suscriptores activos.
- Para facilitar un mejor análisis de la distribución de las métricas de los grupos de suscriptores, se ha añadido un diagrama de caja de métricas KPI a la página Grupos de suscriptores.
Retroceda en el tiempo. Las estadísticas de nodos ahora están disponibles hasta para los últimos 3 meses.
Mejoras en la integración con terceros
Bequant añadiendo y mejorando nuestras integraciones con sistemas de facturación y gestión deterceros.
- Nuevo conector UISP. Facilita considerablemente la conexión con el sistema de facturación/gestión de Ubiquiti ISP. Se ha añadido compatibilidad con claves API CRM/NMS independientes para la versión 2.4.220 y posteriores de UISP.
- Grupos de rutas de doble pila IPv6. Con la plataforma BQN funcionando como proxy RADIUS o servidor de contabilidad, se pueden incorporar los atributos RADIUS 99 (Framed-IPv6-Route) y 22 (Framed-Route) para establecer grupos de suscriptores basados en información de rutas estáticas.
Más funciones nuevas
- Ahora es posible realizar copias de seguridad no solo de la configuración del dispositivo, sino también de la información de los suscriptores obtenida de los sistemas Radius, REST o de facturación.
- Ahora es posible eludir el tráfico MPLS y PPPoE.
- Una instalación de software más flexible permite almacenar múltiples versiones y activar las versiones seleccionadas.
- Desactivar/activar puertos Ethernet físicos BQN individuales; útil cuando se fuerza una reconexión de la interfaz.
- Para obtener una lista completa de las notas de la versión, consulte aquí.